《杨公断之丧事秘诀》,共49个双面,98页。
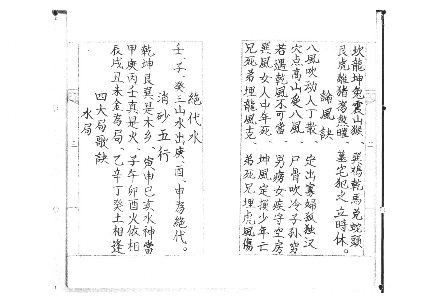
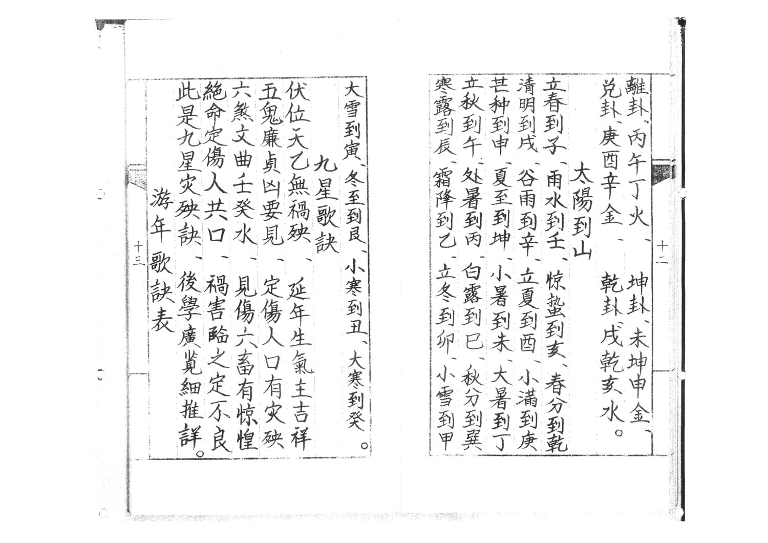
内容包含:地支相冲歌诀、龙上八煞、论风诀、绝代水、四大局歌诀、黄泉八煞、救贫黄泉、二十四山相配歌诀、二十四山五行、太阳到山、游年歌诀表等。









下载价格为10金币立即购买
充值优惠:充50送10,充100送30,充200送100,充300送300!
嫌注册账号麻烦?也可添加客服微信:1715524655
购买后如有链接失效,可联系客服处理,电话:18530825963
因网站大部分为虚拟资源,购买前请认真查看,充值售出后无法退货退款!
(晚上10点后客服不在线,如有问题,次日早8点会及时处理。)