《二十四山九星消峰纳水秘本》
发布时间:2024-12-16 08:26:11 | 来源:好客运势网

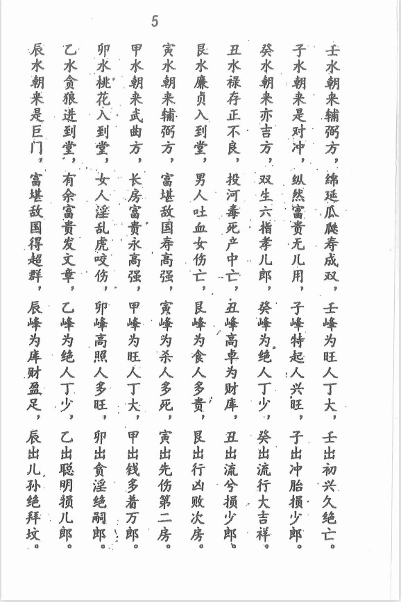
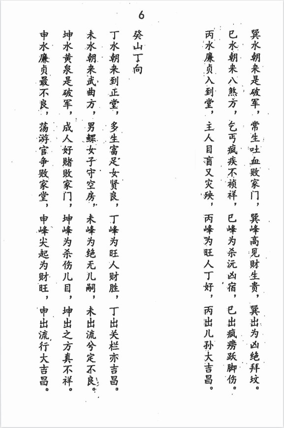
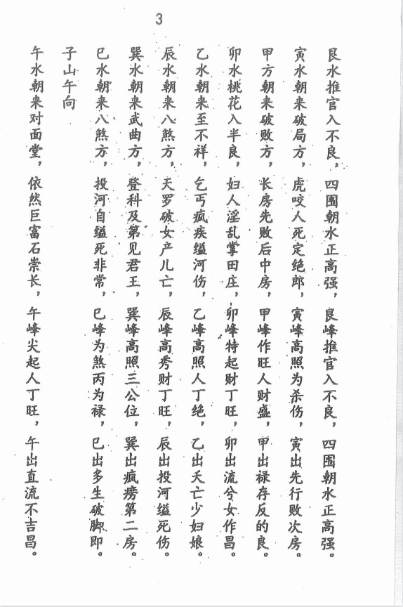
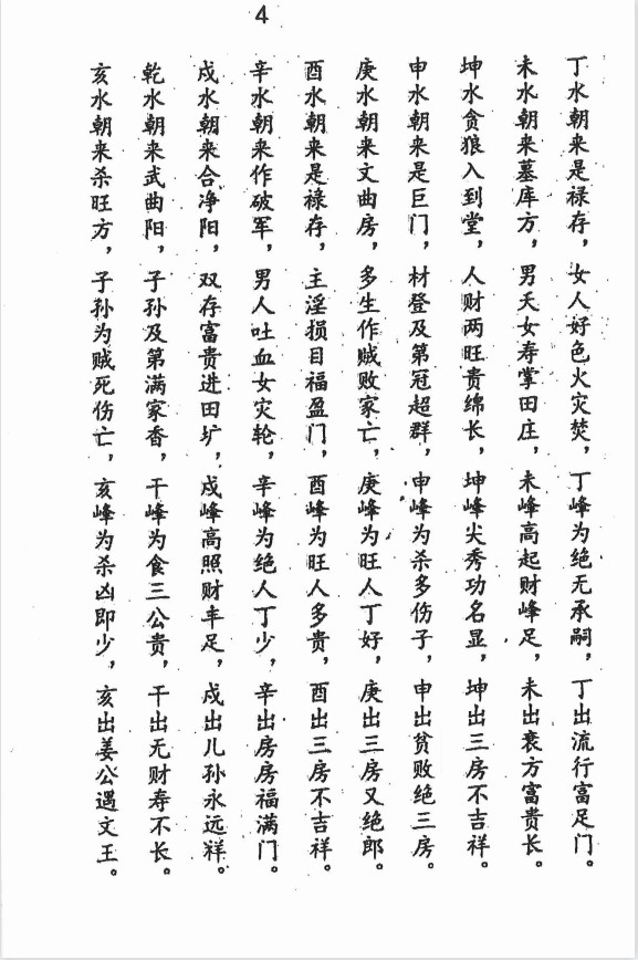
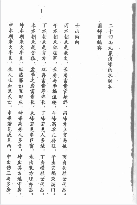
《二十四山九星消峰纳水秘本》,三僚杨公地理堪舆秘本。

图片

图片

图片

图片

图片

图片

pdf电子版大小:10.1MB,合计68页

提示:您可以通过浏览器菜单选择“文件 → 打印 → 另存为 PDF”来保存本页面。