《阳宅调理法》
发布时间:2025-07-15 08:36:46 | 来源:好客运势网

《阳宅调理法》,共28页。

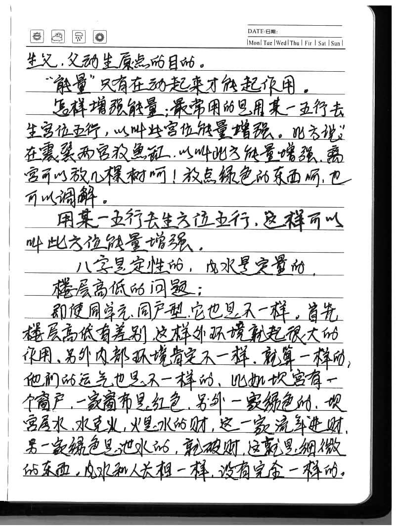
图片

图片

图片

图片

图片

图片

图片

图片

图片

资源下载

下载价格为10金币立即购买

充值优惠:充50送10,充100送30,充200送100,充300送300!
嫌注册账号麻烦?也可添加客服微信:1715524655
购买后如有链接失效,可联系客服处理,电话:18530825963
因网站大部分为虚拟资源,购买前请认真查看,充值售出后无法退货退款!
(晚上10点后客服不在线,如有问题,次日早8点会及时处理。)

提示:您可以通过浏览器菜单选择“文件 → 打印 → 另存为 PDF”来保存本页面。